Unit Penilaian Dan Peperiksaan Matang

Tarikh Tarikh Peperiksaan Sekolah Rendah 2017

Tarikh Tarikh Peperiksaan Sekolah Rendah 2017

Misi Unit Peperiksaan Dan Penilaian Unit Peperiksaan Dan Penilaian

Misi Unit Peperiksaan Dan Penilaian Unit Peperiksaan Dan Penilaian

Unit Penilaian Dan Peperiksaan Matang

Unit Penilaian Dan Peperiksaan Matang

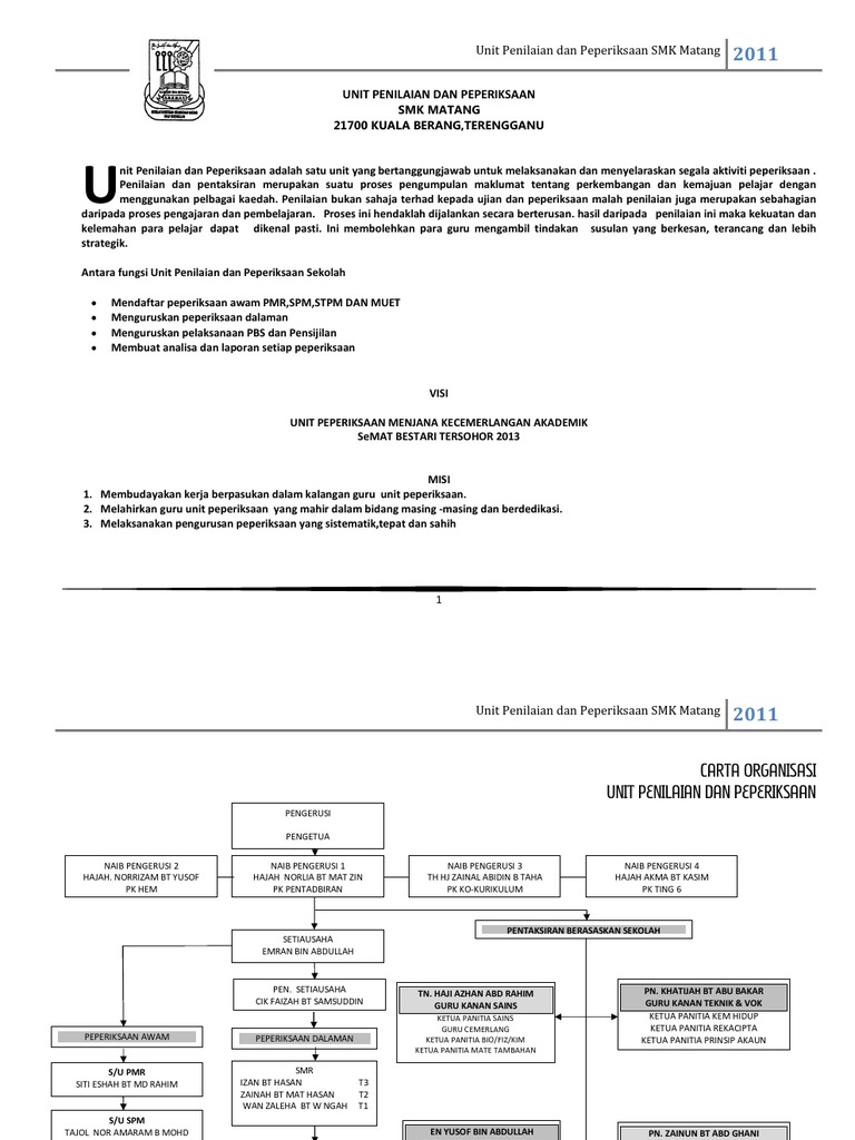
Carta Organisasi Unit Peperiksaan

Carta Organisasi Unit Peperiksaan

Stesen Penerimaan Bahan Am Dan Nama Peg Meja Negeri Dan Ppd Upsr 2019 1

Stesen Penerimaan Bahan Am Dan Nama Peg Meja Negeri Dan Ppd Upsr 2019 1

Carta Organisasi Unit Peperiksaan Pdf Document

Carta Organisasi Unit Peperiksaan Pdf Document

Carta Organisasi Unit Peperiksaan Pdf Document

6 Langkah Mudah Permohonan Menduduki Smk Tun Abang Haji Openg Facebook

6 Langkah Mudah Permohonan Menduduki Smk Tun Abang Haji Openg Facebook

Minit Mesyuarat Pbs Bil 1 Sk Rendah 1

Minit Mesyuarat Pbs Bil 1 Sk Rendah 1

42 060 Calon Duduki Upsr Di Sarawak Sabah Dan Sarawak Berita Harian

42 060 Calon Duduki Upsr Di Sarawak Sabah Dan Sarawak Berita Harian

Analisis Upsr Skgp 2015 Perbandingan Upsr Unit Penilaian Dan Peperiksaan Sk Guar Perahu

Analisis Upsr Skgp 2015 Perbandingan Upsr Unit Penilaian Dan Peperiksaan Sk Guar Perahu

Betong 1

Betong 1

15 Unit 11

15 Unit 11

Unit Peperiksaan Dan Penilaian Ipg Kampus Pendidikan Teknik Posts Facebook

Unit Peperiksaan Dan Penilaian Ipg Kampus Pendidikan Teknik Posts Facebook

3 Jabatan Dan Unit Jabatan Pembantu Tadbir N17 En Azmi Bin Mansor Pn Hanisah Bin I Yaacob Manual

3 Jabatan Dan Unit Jabatan Pembantu Tadbir N17 En Azmi Bin Mansor Pn Hanisah Bin I Yaacob Manual

Ain Designs Unit Penilaian Dan Pentaksiran 1 Set

Ain Designs Unit Penilaian Dan Pentaksiran 1 Set

Carta Organisasi Pejabat Pendidikan Daerah Kudat

Carta Organisasi Pejabat Pendidikan Daerah Kudat

Fungsi Bahagian Portal Rasmi Pejabat Ketua Pendaftar Mahkamah Persekutuan Malaysia

Fungsi Bahagian Portal Rasmi Pejabat Ketua Pendaftar Mahkamah Persekutuan Malaysia

Politeknik Kuching Sarawak Unit Peperiksaan

Politeknik Kuching Sarawak Unit Peperiksaan

Unit Penilaian Tahap Kecekapan Ppt Download

Unit Penilaian Tahap Kecekapan Ppt Download

Carta Organisasi Unit Peperiksaan

Carta Organisasi Unit Peperiksaan

Http Estaff Unisel Edu My Staff Portal Images1 Jadual 20peperiksaan 20sample 20masterlist 20staf 20 20april 20khas Pdf

Http Estaff Unisel Edu My Staff Portal Images1 Jadual 20peperiksaan 20sample 20masterlist 20staf 20 20april 20khas Pdf

Pengurusan Portal Rasmi Pejabat Pendidikan Daerah Larut Matang Selama

Pengurusan Portal Rasmi Pejabat Pendidikan Daerah Larut Matang Selama

Buku Pengurusan Kolej Vokasional Matang Tahun 2020 Pages 1 50 Text Version Anyflip

Buku Pengurusan Kolej Vokasional Matang Tahun 2020 Pages 1 50 Text Version Anyflip

Exam Perak Mesyuarat Penyelarasan Sppp Dengan Ppd Seluruh Perak

Exam Perak Mesyuarat Penyelarasan Sppp Dengan Ppd Seluruh Perak

Unit Peperiksaan Dan Penilaian Ipg Kampus Pendidikan Teknik Posts Facebook

Unit Peperiksaan Dan Penilaian Ipg Kampus Pendidikan Teknik Posts Facebook

Politeknik Kuching Sarawak

Politeknik Kuching Sarawak

Http Jpnperak Moe Gov My Jpn Attachments Article 6844 Kajian 20profil 20calon Pdf

Http Jpnperak Moe Gov My Jpn Attachments Article 6844 Kajian 20profil 20calon Pdf

Direktori Jpn Sarawak 2019 Pages 1 50 Text Version Fliphtml5

Direktori Jpn Sarawak 2019 Pages 1 50 Text Version Fliphtml5

Semakan Keputusan Pt3 2018 Online Dan Sms Pendidikan Malaysia

Semakan Keputusan Pt3 2018 Online Dan Sms Pendidikan Malaysia

Http Estaff Unisel Edu My Staff Portal Images1 Jadual 20peperiksaan 20masterlist 20staf 20special 20exam 2021902 Pdf

Http Estaff Unisel Edu My Staff Portal Images1 Jadual 20peperiksaan 20masterlist 20staf 20special 20exam 2021902 Pdf

Carta Organisasi Unit Peperiksaan

Carta Organisasi Unit Peperiksaan

Unit Penilaian Tahap Kecekapan Ppt Download

Unit Penilaian Tahap Kecekapan Ppt Download

Smk Tun Abang Haji Openg 2 Langkah Mudah Untuk Mendapatkan Semula Salinan Sijil Yang Hilang Jika Anda Menghadapi Masalah Kehilangan Sijil Asal Seperti Sijil Spm Yang Amat Penting Untuk Pelbagai Urusan

Smk Tun Abang Haji Openg 2 Langkah Mudah Untuk Mendapatkan Semula Salinan Sijil Yang Hilang Jika Anda Menghadapi Masalah Kehilangan Sijil Asal Seperti Sijil Spm Yang Amat Penting Untuk Pelbagai Urusan

Carta Organisasi Unit Peperiksaan

Carta Organisasi Unit Peperiksaan

Pejabat Pendidikan Daerah Kuching Unit Penilaian Dan Peperiksaan Board Of Education Jalan Matang Km 4 Kuching Phone Number Www Yellow Pages Network

Pejabat Pendidikan Daerah Kuching Unit Penilaian Dan Peperiksaan Board Of Education Jalan Matang Km 4 Kuching Phone Number Www Yellow Pages Network

Unit Ko Kurikulum Ko Akademik Portal Rasmi Pejabat Pendidikan Daerah Larut Matang Selama

Unit Ko Kurikulum Ko Akademik Portal Rasmi Pejabat Pendidikan Daerah Larut Matang Selama

Buku Pengurusan Kolej Vokasional Matang Tahun 2020 Pages 1 50 Text Version Anyflip

Buku Pengurusan Kolej Vokasional Matang Tahun 2020 Pages 1 50 Text Version Anyflip

Ppt Sistem Penilaian Cgpa Spc Jabatan Tenaga Manusia Powerpoint Presentation Id 5118807

Ppt Sistem Penilaian Cgpa Spc Jabatan Tenaga Manusia Powerpoint Presentation Id 5118807

Contoh Surat Iringan

Contoh Surat Iringan

Taklimat Pbppp 6 Instrumen Keberhasilan Penolong Kanan

Taklimat Pbppp 6 Instrumen Keberhasilan Penolong Kanan

Source : pinterest.com